ייצוגים שונים לפונקציה ריבועית

בפרק זה נכיר דרכים שונות להציג פונקצייה ריבועית.

שיעורים

09:31 פונקציה צורת המכפלה והצורה הקודקודית מאת liron shoval, הועלה ע"י איתמר בנית
01:51 פרבולה | משוואת פרבולה | למה זה טוב מאת 5M Stories, הועלה ע"י איתמר בנית

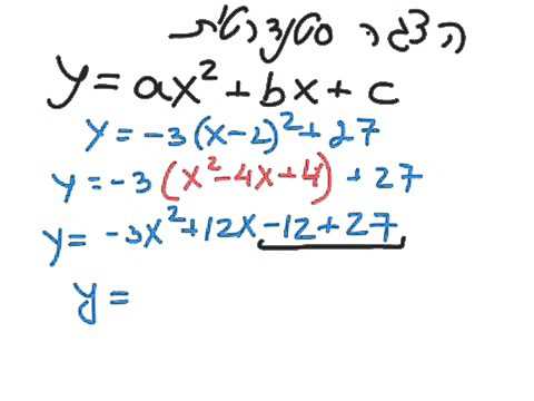
הדגמות

03:49 מעבר מצורה סטנדרטית לצורה קודקודית מאת ILan Ramati, הועלה ע"י איתמר בנית
06:37 מעבר בין יצוגים אלגבריים של פונקציה ריבועית מאת Sharon Steinberg, הועלה ע"י איתמר בנית

פתרונות תרגילים

06:55 מבחן מפמר ט' | פונקציה ריבועית | הייצוג הקודקודי - מאת שיעורטונים מתמטיים, הועלה ע"י איתמר בנית